网站首页
新闻时事 云岭安全 文化教育 森林云南 关注民生 医疗卫生 名家书画鉴赏 企业形象 饮食文化 诗歌散文
您现在的位置: 云南法制报经济聚焦_云南法制经济网 >> 文章中心 >> 名家书画鉴赏 >> 正文
“翰墨写丹心”宣威市庆祝中国共产党成立100周年书法作品展(第一辑)
作者:陶汝亚  来源:本站原创  更新时间:2021/7/2 20:36:37  点击次数:28280

 

 

滕仕万 自撰万里千秋联

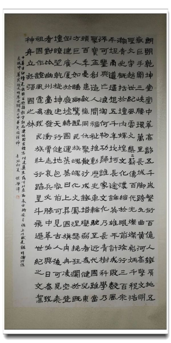
柴兴伟 魏明伦中华世纪坛赋

陈庆超 党树国施联

陈庆魁 自撰诗红船

陈兴东 毛泽东沁园春·长沙

陈中平 毛泽东沁园春·雪

崔荣 毛主席七律·韶山

代毓尹 篆刻

刘光平 扶贫诗一首

王留荣 毛泽东诗词

通联 陶汝亚

编辑 吴敏昆 校审 杨文翠 主编 钱丙申

推荐文章  
· 昆明:嵩明县书法协会走进学校乡村厂矿
· 国务院安委办第三督导组赴滇开展安全生产工
· 云南省春节期间安全生产形势平稳
· 昆明市委主要领导检查安全生产工作
· 腾冲市推动安全生产大检查长效机制
· 晋宁区安委办部署危险化学品安全综合治理
· 云南省安监局讲党课
· 文山市一医院手术中停止治疗被停业整顿
热门点击  
· 数字经济·物联网财富盛典暨佳联大数据千人
· 云南晋宁独特的传统风味石将军卤腐深受人们
· 走进云滇观古堂_讲述罕见瓷烟筒背后的故事
· 中国冰岛茶业集团美股上市分享会在云南普洱
· 合作共赢共创辉煌   云南佳联大数据集团合伙
· 2024数字经济一物联网-A1财富盛典暨佳联易生
· 贵州习酒·云南醉临风酒业有限公司 2024 中
· 中国化学品安全协会专家到会泽县危险化学品
关于我们 | 服务条款 | 广告服务 | 媒体合作 | 电子邮箱 | 联系我们
广告热线:0871-63151829 订报及投诉:0871-63151956 内容纠错:0871-63151829 管理员信箱:ynfzbj@163.com
本报常年法律顾问 云南法闻律师事务所 电话:15808896978 联系地址:云南省昆明市高新区二环西路398号高新科技信息中心主楼
云南法制经济网制作、维护 CopyRight 2025 泽安传媒版权所有 滇ICP备2025066292号
分享到: